CAS:799268-45-4 N-P Tyrosine PA N-P酪氨酸PA
发布时间:2024-06-06     作者:zhn   分享到:
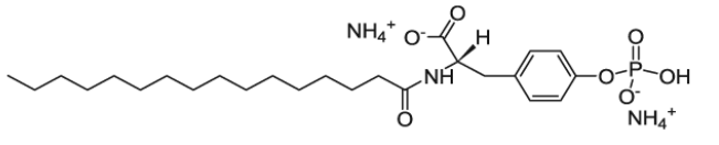
N-P Tyrosine PA
N-P酪氨酸PA

Hygroscopic:No
Light Sensitive:No
Molecular Formula:C25H48N3O7P
Percent Composition:C 56.27%, H 9.07%, N 7.87%, O 20.99%, P 5.80%
Purity<99%
Stability:1 Years
Storage:Temperature-20°C
CAS Number:799268-45-4
CAS Registry Number
Formula Weight: 533.638
Exact Mass:533.323
种类:磷脂
产地:西安
用途:科研
包装:瓶装
以上资料由齐岳小编zhn提供,仅用于科研
西安齐岳生物提供各种基础的磷脂以及功能化的磷脂;功能化脂质通常用于研究生物过程中的脂质功能。这些脂质并不自然存在于生物系统中。功能化脂质可应用于几个感兴趣的领域,包括药物递送、转染、报告分子和结构生物学。我们目前提供几种类型的功能化脂质,如马来酰亚胺、己胺、琥珀酰、戊二酰和生物素衍生物等。
相关产品:
DSPE-Se-Se-PEG2k
DSPE-Se-Se-PEG3.4k
DSPE-Se-Se-PEG5k
磷脂-双硒键-聚乙二醇




齐岳微信公众号
官方微信
库存查询