PEO-b-PSSO3Na 聚乙二醇-聚(4-苯乙烯磺酸钠) 二嵌段共聚物盐 Poly(ethylne oxide)-b-poly(4-styrene sulfonic acid sodium
中文名称:聚乙二醇-聚(4-苯乙烯磺酸钠)
英文简称:PEG-b-PSSO3Na | PEO-b-PSSO3Na
英文全称:Poly(ethylne oxide)-b-poly(4-styrene sulfonic acid sodium salt)
英文别名:Poly(ethylene oxide)-b-poly(sodium 4-styrenesulfonate)
CAS号:n/a; PEG: 25322-68-3; PSSO3Na: 25704-18-1
分子式:(C2H4O)n(C8H7O3SNa)m
主链结构:二嵌段共聚物
主要成分:PSSO3H/PSSA
亲疏水性:两亲性
产品类型:聚合物盐
荧光/发光:无
外观/形态:固态粉末或颗粒(以实际外观为准)
纯度:≤ 100%
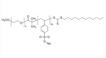
结构式:

用途:科研
品牌:齐岳生物
包装: 瓶装
产地:西安
供应商:西安齐岳生物科技有限公司
温馨提示:仅用于科研,不能用于人体实验!
西安齐岳生物科技有限公司是国内的高分子聚合物合成厂家,可提供PLGA,PCL,PAMAM,PAA等聚合物的定制合成,提供基本活性基团修饰,荧光标记以及其他基团或者多肽聚合物,种类多,可提供定制服务。也提供基于这些共聚物修饰蛋白,多肽,氨基酸,荧光修饰等定制合成。
相关产品:
PnHMA
PNF222
PNEA
PNDI-T10
PNDI(2OD)T
PNDI(2OD)2T
PNDI(2HD)T
PNDI(2HD)2T
PnBuMAtBuMAran-PCL
PnBuMAtBuMAran
PnBuMAtBuMA-HEMATMSran
PnBuMA-PHEMA




齐岳微信公众号
官方微信
库存查询