UDP-GlcNAcA(尿苷二磷酸N-乙酰氨基葡萄糖酸)
发布时间:2024-09-19     作者:ssl   分享到:
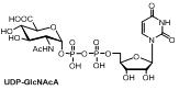
UDP-GlcNAcA
UDP-GlcNAcA(尿苷二磷酸N-乙酰氨基葡萄糖酸)是一种重要的核苷糖,主要用于合成多糖和糖基化过程。以下是一些关键点:
结构与组成
化学结构:UDP-GlcNAcA包含尿苷二磷酸(UDP)、N-乙酰氨基葡萄糖(GlcNAc)和一个羧酸基团(A代表酸)。
生物功能
糖基化:作为糖基供体,在合成糖蛋白、糖胺聚糖和细胞壁成分中起到关键作用。
代谢途径:在多种代谢途径中作为重要的中间体,参与细胞的生长和修复。
相关性
生物学意义:UDP-GlcNAcA在细胞的结构、信号传导和免疫反应中具有重要作用。
西安齐岳生物科技有限公司供应合成磷脂、PEG磷脂、两亲嵌段共聚物,磁性纳米颗粒,纳米金,荧光量子点及树枝状聚合物、PEG衍生物等等产品.可供常规磷脂单体、PEG磷脂,改性磷脂,荧光标记磷脂、聚合物磷脂、磷脂偶连无机纳米材料及微球类材料、单分散小分子PEG磷脂偶连产品,还可根据客户需要定制合成复杂及特殊的聚合物磷脂产品。
厂家:西安齐岳生物科技有限公司
用途:科研
状态:固体/粉末/溶液
产地:西安
保存:冷藏
温馨提醒:仅供科研,不能用于人体实验
相关产品:
GDP-PerNAc
UDP-VioNH2
UDP-VioNAc
UDP-ManNAcA
UDP-D-QuiNAc
UDP-GlcNAcA
UDP-D-XylNAc




齐岳微信公众号
官方微信
库存查询