PDMS-PDMAEMA 聚二甲基硅氧烷-聚甲基丙烯酸二甲氨基乙酯 二嵌段共聚物
发布时间:2022-11-07     作者:LYQ   分享到:
PDMS-PDMAEMA 聚二甲基硅氧烷-聚甲基丙烯酸二甲氨基乙酯 二嵌段共聚物
中文名称:聚二甲基硅氧烷-聚甲基丙烯酸二甲氨基乙酯
英文简称:PDMS-PDMAEMA
英文全称:Poly(dimethylsiloxane)-b-poly(N,N-dimethylaminoethyl methacrylate)
CAS号:n/a; PDMS: 9016-00-6/63148-62-9; PEMA: 9003-42-3
分子式:[C2H6OSi]n [C8H15NO2]m
主链结构:二嵌段共聚物
主要成分:PDMS
亲疏水性:两亲性
产品类型:常规高分子
荧光/发光:无
外观/形态:固态粉末或颗粒(以实际外观为准)
纯度:≤ 100%
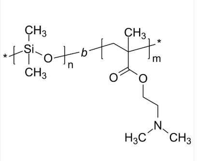
结构式:

包装: 瓶装
用途:用于医学研究,药物释放,纳米技术和新材料研究。
品牌:齐岳生物
产地:西安
供应商:西安齐岳生物科技有限公司
温馨提示:仅用于科研实验,不能用于人体!
西安齐岳生物科技有限公司是国内的高分子聚合物合成厂家,我公司可以提供各种不同的聚合物的嵌段共聚物,有均聚物,嵌段共聚物,星形聚合物等,聚合物包括有PEG、PLGA、PLA、PCL、PS、PLL,PtBA,PMMA,PAA,P4VP,P2VP,PNIPAAm,聚赖氨酸、聚谷氨酸、聚天冬氨酸、PEI、以及其他基团或者多肽聚合物,种类多,可提供定制服务。
相关产品:
PBDD4T
PBd-COCl
PBDB-T-SF
PBDB-TF-T1
PBDB-TCl-T1
PBDB-T-2F
PBDB-T-2Cl
PBDB-T
PBd-An-PBd
PBd-6OH
PBd-2SO3CF3
PBd-2BzCl




齐岳微信公众号
官方微信
库存查询