CAS号 217190-24-4
分子量 544.85
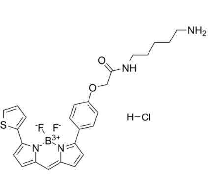
分子式 C26H28BClF2N4O2S
状态:固体/粉末/溶液
保存:冷藏
供应:西安齐岳生物科技有限公司

BODIPY TR Cadaverine是一种功能化荧光化学试剂,由BODIPY TR荧光核心与丁二胺(Cadaverine)结构相连形成。该分子结合了BODIPY TR的高荧光量子产率、良好光稳定性以及Cadaverine的氨基反应性,成为功能性分子标记、材料功能化和分子偶联研究中的重要工具。
化学性质方面,BODIPY TR Cadaverine在有机溶剂如DMSO、DMF及乙腈中溶解良好,且在一定水溶条件下亦可使用。BODIPY TR核心提供强吸收和发射性能,其吸收峰约为589 nm,发射峰约为616 nm,具有高荧光量子产率和稳定性。Cadaverine末端含有原子可自由反应的伯氨基(–NH2),可以与活性酯(如NHS酯)、醛基或其他活性官能团进行高效偶联,形成稳定的共价键。该设计使得BODIPY TR Cadaverine既具备显著荧光特性,又具有广泛的化学可修饰性。
光学性能方面,BODIPY TR Cadaverine具有明亮的红色荧光,光稳定性强,适合多种荧光标记和检测应用。其氨基末端可通过化学偶联将荧光核心引入聚合物、蛋白质、纳米材料或其他有机分子体系,实现精确的荧光标记和功能化。结合BODIPY TR的光学特性和Cadaverine的偶联能力,该分子在高灵敏度荧光检测及功能化材料开发中表现出独特优势。
应用方面,BODIPY TR Cadaverine广泛用于聚合物修饰、纳米粒子功能化及荧光探针开发。通过Cadaverine氨基端的活性化学反应,研究者可将BODIPY TR荧光核心稳定地引入目标体系,实现高效荧光标记和信号检测。其亮红色荧光和高化学稳定性,使其在材料表征、纳米体系功能化和分子探针开发中具有重要价值。此外,该分子可用于开发多色荧光标记体系,实现复合功能材料或探针设计。
相关推荐:
2125661-92-7,NOTA-Azide
79598-53-1,6-Azido-hexanoic acid
花菁染料CY3.5标记DBCO
1580501-97-8,TCO-PNB Ester
134272-64-3,MAL-NH2 HCl
125923-10-6,NH2-MAL
Sulfo-SANPAH Crosslinker
DPPE-DBCO,2260670-41-3
DPPE-Maleimide,1633047-04-7,DPPE-马来酰亚胺
DPPE-COOH,186800-61-3




齐岳微信公众号
官方微信
库存查询