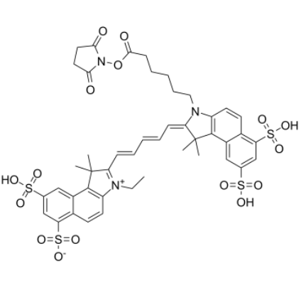
常用名 Cy5.5-N-羟基琥珀酰亚胺酯
英文名 Cy5.5-SE
CAS号 442912-55-2
分子量 1014.13000
分子式 C45H47N3O16S4
用途:科研
状态:固体/粉末/溶液
保存:冷藏
供应:西安齐岳生物科技有限公司

Sulfo-Cy5.5-E是一种具有强荧光特性的染料,属于Cy系列荧光染料之一,主要用于生物分子标记和成像应用。
该染料是Sulfo-Cy5.5的一个衍生物,其中包含一个活性酯(-E)官能团,使其能够与含氨基的分子(如蛋白质、抗体或核酸)发生反应。其优异的荧光特性使其成为标记探针、检测和分析等领域的重要工具,尤其在生物医学研究中具有广泛的应用。
应用领域:
生物标记:由于其特有的光学特性,Sulfo-Cy5.5-E被广泛应用于免疫检测、抗体标记、蛋白质分析、核酸检测等领域。
细胞成像:在细胞和组织成像中,由于其高荧光强度和较长的发射波长,Sulfo-Cy5.5-E能够提供清晰的图像,适用于活细胞成像。
多重标记:结合其与其他Cy染料(如Cy3、Cy5等)的兼容性,Sulfo-Cy5.5-E常被用于多重标记实验,如流式细胞术、荧光共聚焦显微镜等技术中。
分子诊断:可与各种探针结合使用,应用于分子诊断工具中,如PCR、ELISA等技术。
关于我们:
西安齐岳生物科技有限公司经营的产品种类包括有:原料药、抑制剂、天然产物、COF、MOF单体系列:三蝶烯衍生物、金刚烷衍生物、四苯甲烷衍生物、多胺系列、多醛系列、联吡啶衍生物、卟啉衍生物、苯乙炔衍生物等;抑制剂&染料;原料药及中间体;OLED光电材料单体系列:共轭苯衍生物、咔唑、噻吩、苯并呋喃和苝/萘酐衍生物等;聚酰亚胺系列:聚酰亚胺、二胺和二酐;有机硅系列:单体、有还原剂、保护剂和偶联剂等;可光聚合液晶小分子等。
相关推荐:
Alexa Fluor 488 羟胺
Alexa Fluor 488 尸胺 AF488 Cadaverine
2500973-94-2,Alexa Fluor 488 酰肼
Alexa Fluor 488 TFP
924660-14-0,AF-488(6-isomer)
甲基四嗪Cy5,甲基-四嗪-花青素Cy5
Sulfo-Cy7 bis-SE
Sulfo-Cy5.5双琥珀酰亚胺酯




齐岳微信公众号
官方微信
库存查询