英文名 DOTA Zoledronate
CAS号 1908409-18-6
分子量 701.56
密度 1.7±0.1 g/cm3
沸点 N/A
分子式 C23H41N7O14P2

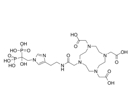
DOTA-Zoledronate 是一种功能化的多齿螯合剂衍生物,其核心包含 DOTA环状结构与 Zoledronate(唑来膦酸)分子通过共价连接形成的复合结构。DOTA 作为一个四齿或多齿螯合剂,能够与多种金属离子形成高度稳定的配位复合物,这赋予了 DOTA-Zoledronate 强大的金属螯合作用及稳定性,而 Zoledronate 的磷酸基团则赋予了分子对钙和其他二价金属离子的高亲和性。
化学结构上,DOTA-Zoledronate 由 DOTA 环和 Zoledronate 的咪唑环及双膦酸基组成。双膦酸基与羟基结构相连,整体呈现强极性,使其在水溶液中具有良好的溶解性。DOTA 环的四个羧酸基可通过配位与金属离子形成牢固的螯合,整体分子呈现高度稳定的构型。该结构设计使得 DOTA-Zoledronate 能够在多种缓冲体系中保持溶解性和稳定性,同时通过其磷酸基团与钙类或金属表面发生结合,增强其在多相体系中的附着能力。
在实验应用中,DOTA-Zoledronate 常用于制备金属螯合物或作为金属标记的分子载体。它能够与金属离子(如钆、镝、镧系金属等)形成稳定复合物,并保持 Zoledronate 的化学活性和结合能力。通过 DOTA-Zoledronate 的金属螯合能力,可构建功能化材料或标记分子用于荧光、放射性示踪或材料表面修饰等研究。
关于我们:
西安齐岳生物科技有限公司经营的产品种类包括有:原料药、抑制剂、天然产物、COF、MOF单体系列:三蝶烯衍生物、金刚烷衍生物、四苯甲烷衍生物、多胺系列、多醛系列、联吡啶衍生物、卟啉衍生物、苯乙炔衍生物等;抑制剂&染料;原料药及中间体;OLED光电材料单体系列:共轭苯衍生物、咔唑、噻吩、苯并呋喃和苝/萘酐衍生物等;聚酰亚胺系列:聚酰亚胺、二胺和二酐;有机硅系列:单体、有还原剂、保护剂和偶联剂等;可光聚合液晶小分子等。
相关推荐:
2228857-32-5,Azide-SS-COOH
p-SCN-Bn-DOTA
ICG-NH2,1686147-55-6
824426-32-6,叠氮乙酸琥珀酰亚胺酯
217180-76-2,8-叠氮辛酸
135920-28-4,7-叠氮庚酸
3-Azidopropanoic acid,18523-47-2
3-Azidopropan-1-ol,72320-38-8
6-叠氮基己胺,349553-73-7




齐岳微信公众号
官方微信
库存查询