英文名 Maleimide-DOTA
CAS号 1006711-90-5
分子量 526.54
分子式 C22H34N6O9
用途:科研
状态:固体/粉末/溶液
保存:冷藏
供应:西安齐岳生物科技有限公司

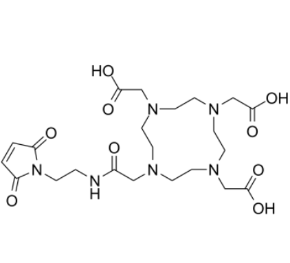
Maleimide-DOTA 是一种功能化螯合剂衍生物,其核心为 DOTA(1,4,7,10-四氮环十二烷四乙酸)环,末端通过马来酰亚胺(maleimide)官能团进行功能化。其独特结构结合了 DOTA 的多齿螯合能力和马来酰亚胺的高反应选择性,使其成为化学偶联和分子功能化研究中的重要工具。
化学结构与特性
DOTA 核心:DOTA 分子由四个亚氮原子和四个羧酸基组成,能够形成八配位或九配位的稳定金属螯合物,具备优异的化学稳定性。DOTA 螯合中心可以与多种金属离子结合,为功能化分子提供稳定的金属配位平台。
马来酰亚胺端(Maleimide):马来酰亚胺基团是一种高度选择性的巯基反应官能团,能够与自由硫醇(-SH)反应生成稳定的硫醚键。其反应条件温和,反应速度快,选择性高。
化学稳定性:Maleimide-DOTA 在干燥和中性缓冲体系中稳定,可在有机溶剂和水相溶液中操作,适合多步化学反应。
化学反应与功能化潜力
巯基偶联:马来酰亚胺端与含巯基化合物(如巯基修饰小分子或蛋白质)发生加成反应,形成稳定的硫醚键,实现分子功能化。
金属螯合:DOTA 核心可与多种金属离子结合,形成稳定配位复合物,为材料化学或分子探针构建提供平台。
多功能分子构建:结合马来酰亚胺与 DOTA 的双功能特性,可构建双功能分子或交联化学桥梁,实现分子组装和功能化。
相关推荐:
QXY21 NHS ester
QXY2-淬灭剂,QXY21
Helix Fluor 545,N-羟基琥珀酰亚胺酯
Cell-Tracker Red CMTPX
323192-14-9,Cell-Tracker Orange CMTMR
136832-63-8,活细胞示踪剂CMFDA
吖啶酯NSP-DMAE-NHS,194357-64-7
吖啶酯 DMAE-NHS,115853-74-2
87876-22-0,氨基鬼笔环肽
鬼笔环肽-iFluor 488标记
iFluor 488琥珀酰亚胺酯
FITC-alk,异硫氰酸荧光素炔烃




齐岳微信公众号
官方微信
库存查询