英文名 NHS-SS-biotin
CAS号 122266-55-1
分子量 606.69
分子式 C19H28N4O6S3
状态:固体/粉末/溶液
保存:冷藏
供应:西安齐岳生物科技有限公司

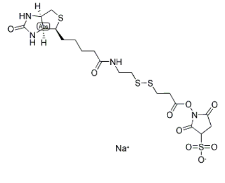
化学名称与结构
NHS-SS-biotin 是一种二官能团生物素衍生物,其特点是含有N-hydroxysuccinimide(NHS)活性酯和二硫键(–S–S–)桥接的结构。NHS基可与氨基反应生成稳定酰胺键,而二硫桥则赋予分子可还原的特性,使其在生物体系中实现可控断裂。该结构使NHS-SS-biotin在可逆标记、可拆卸连接和生物正交偶联中应用广泛。
物理化学性质
溶解性:可溶于DMF、DMSO及缓冲液中,水溶性有限,需要少量有机溶剂辅助。
稳定性:干燥避光条件下稳定;在含还原剂体系中二硫键可能被还原断裂。
反应特性
NHS-SS-biotin 是典型的氨基偶联试剂,结合二硫可逆性设计:
氨基偶联:NHS酯可与蛋白质、抗体或多肽中的赖氨酸残基氨基形成酰胺键。
可还原断裂:二硫键可通过还原剂(如DTT或TCEP)断裂,实现可逆释放标记分子或清除生物素标记。
反应条件:在pH 7–9 的缓冲液中反应,通常30分钟到1小时即可完成。
应用领域
可逆生物素标记:用于蛋白质、抗体或细胞表面的可控标记,在拉下实验或免疫捕获中,标记可通过还原剂去除。
蛋白质纯化:通过链霉亲和素-生物素系统进行蛋白捕获和洗脱,利用二硫键实现温和释放。
化学生物学研究:用于可拆卸偶联探针的构建,如可逆荧光标记、可控药物释放或可逆交联实验。
多功能生物标记:在分子探针或纳米载体修饰中,可实现临时标记和可控脱离。
相关推荐:
ICG-NH2,1686147-55-6
824426-32-6,叠氮乙酸琥珀酰亚胺酯
217180-76-2,8-叠氮辛酸
135920-28-4,7-叠氮庚酸
3-Azidopropanoic acid,18523-47-2
3-Azidopropan-1-ol,72320-38-8
6-叠氮基己胺,349553-73-7
2-Azidoethanamine
118508-67-1,2-叠氮乙胺盐酸盐
464190-91-8,氨基-聚乙二醇-叠氮
N3-S-S-COOH,2228857-32-5
NHS-S-S-NHS,1688598-83-5
207399-07-3,IR-780 碘




齐岳微信公众号
官方微信
库存查询