用途:科研
状态:固体/粉末/溶液
保存:冷藏
供应:西安齐岳生物科技有限公司

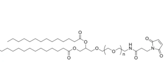
DMG-PEG-Maleimide是一种功能化的聚乙二醇衍生物,其结构由三部分组成:胆基甘油(DMG, Dimyristoyl Glycerol)、聚乙二醇(PEG)链以及末端的马来酰亚胺(Maleimide)活性基团。该分子兼具疏水性、亲水性和高反应性,是纳米材料修饰、表面功能化及化学偶联研究中常用的多功能工具。
化学结构上,DMG部分由二十四碳脂肪酸酰基甘油构成,提供疏水性基团和脂质亲和能力,使分子能够与脂质膜、纳米颗粒或疏水性材料相互作用。PEG链作为柔性亲水间隔,连接DMG与末端马来酰亚胺,提供水溶性、分散性和空间调节能力。马来酰亚胺末端是一种高反应性官能团,能够与含巯基的分子(如半胱氨酸残基、巯基修饰分子)通过Michael加成反应形成稳定的共价键。
DMG-PEG-Maleimide的合成通常采用分步策略:首先将PEG链与DMG连接形成脂质PEG中间体;然后通过酰化或活化反应将马来酰亚胺官能团接入PEG末端。整个过程中需控制反应条件以避免马来酰亚胺水解或DMG脂质链氧化。合成完成后,可通过高效液相色谱(HPLC)、质谱(MS)及核磁共振(NMR)进行纯度和结构验证。
该分子的主要研究价值体现在其多功能性和高选择性化学偶联能力。DMG部分可与疏水性表面或脂质体系结合,使分子易于嵌入脂质基底或纳米颗粒表面。PEG链提供柔性和空间调节,使末端活性马来酰亚胺可以有效与巯基化合物反应,实现高效偶联。通过该策略,可以设计功能化纳米载体、分子探针或多组分材料,实现多功能体系构建。
相关推荐:
DMG-PEG-Maleimide
DMG-PEG-COOH
PBA-PEG-Transferrin
PBA-PEG-CLS,苯硼酸-聚乙二醇-胆固醇
PBA-PEG-Dibenzocyclooctyne
苯硼酸-聚乙二醇-磷脂三苯酯 PBA-PEG-TPP
PBA-PEG-aldehyde
DOTA-TATE,177943-89-4
DOTA精氨酸甘氨酸天冬氨酸
苯硼酸-聚乙二醇-吲哚菁绿
PBA-PEG-Do,苯硼酸-聚乙二醇-多巴胺
苯硼酸-聚乙二醇-肝素 PBA-PEG-Heparin




齐岳微信公众号
官方微信
库存查询