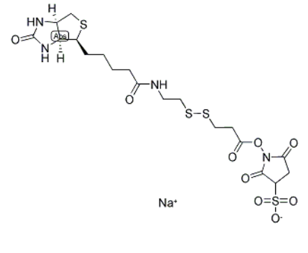
英文名 NHS-SS-biotin
CAS号 122266-55-1
分子量 606.69
分子式 C19H28N4O6S3
熔点 N/A
状态:固体/粉末/溶液
保存:冷藏
供应:西安齐岳生物科技有限公司

Biotin-SS-NHS Ester是一种常用于生物学研究中的化学试剂,具有广泛的应用,尤其是在分子生物学和免疫学领域。它是通过将生物素(Biotin)与含有二硫键(–SS–)的功能性分子连接,并且与NHS(N-hydroxysuccinimide,N-羟基琥珀酰亚胺)酯基团结合制备的。这种化合物主要用于靶向分子标记、免疫检测以及蛋白质与分子间的交联反应等。
合成方法
Biotin-SS-NHS Ester的合成通常包括以下步骤:
合成生物素衍生物:首先,合成生物素衍生物并使其末端带有活性基团,以便后续的化学反应。生物素通常会与化学试剂反应,引入NHS酯基团。
二硫键的引入:将二硫键(–SS–)连接到生物素结构的适当位置。二硫键常常是通过特定的还原反应来连接的,可以通过调节反应条件使其选择性地引入。
与NHS酯结合:通过酰胺化反应,将NHS酯基团与生物素衍生物的末端进行连接,得到Biotin-SS-NHS Ester。
性质与特征
Biotin-SS-NHS Ester具有以下几个显著的性质:
水溶性:由于生物素的亲水性,Biotin-SS-NHS Ester在水溶液中的溶解性较好,适合用于水相反应和生物体内的应用。
稳定性:该化合物具有较好的化学稳定性,能够在一定条件下稳定存在,尤其是二硫键的引入使其在与目标分子反应之前可以维持较长时间的稳定状态。
高度反应性:NHS酯基团与氨基(–NH₂)反应,形成酰胺键,具有非常高的反应活性,可以与多种含氨基的生物大分子反应,如蛋白质、肽类等。
可还原性:二硫键部分是可还原的,在特定的还原条件下,二硫键可以断裂,从而释放出生物素部分。
相关推荐:
水溶性-CY5.5-氨基,sulfo-CY5.5-NH2
三磺酸-CY5.5-COOH,CY5.5-羧基-三磺酸
Cy5-叠氮,Cy5-Suifo-N₃,水溶性-磺酰基-叠氮
ICG-COOH,羧基-吲哚菁绿,吲哚菁绿-COOH
花青素-N3,CY5-N3,Suifo-Cy5-N₃,磺化Cy5-叠氮
Cy5-Suifo-NHS,CY5-磺酰基-活性酯
CY5-磺酰基-活性酯,Cy5-Suifo-NHS
花青素Cy2-DiAcid,花青素CY2染料
Cy3 DiC18,花青素荧光染料
CY5-NH2,花青素-氨基




齐岳微信公众号
官方微信
库存查询