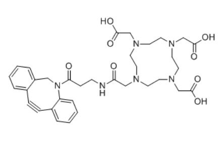
英文名 DOTA-ADIBO
CAS号 1374865-01-6
分子量 662.744
分子式 C34H42N6O8
用途:科研
状态:固体/粉末/溶液
保存:冷藏
供应:西安齐岳生物科技有限公司

DOTA-二苯并环辛炔(DOTA-DBCO)是一种具有高反应活性与优异金属螯合性能的多功能化学衍生物。其全称为1,4,7,10-四氮杂环十二烷-1,4,7,10-四乙酸-二苯并环辛炔酰胺(DOTA-dibenzocyclooctyne conjugate),是一种结合了DOTA螯合骨架与应变炔(DBCO)反应基团的双功能分子。该化合物在配位化学、表面修饰、材料偶联、分子标记、荧光探针构建以及高分子组装研究等领域中被广泛使用。其独特的结构使其能够通过**无铜点击化学(Copper-Free Click Chemistry)**与叠氮化物快速反应,同时保持优异的金属离子结合稳定性。
主要特征与优势
高金属螯合能力
DOTA的四氮四乙酸结构提供八齿配位模式,可与多种金属离子形成稳定的络合物。
这些配合物通常表现出高热力学稳定常数和优异的动力学惰性。
高效的无铜点击反应活性
DBCO基团可与叠氮化物在无需催化剂条件下快速反应(通常在室温下即可进行)。
相比传统的Cu(I)-催化点击反应,DBCO-叠氮反应避免了金属催化带来的副反应及复杂后处理过程。
化学兼容性与结构灵活性
DOTA-DBCO在多种溶剂体系中稳定,能够在水相、有机相或两相体系中使用。
柔性连接臂使DOTA的螯合位点与反应基团彼此独立,避免空间或电子效应干扰。
高选择性与温和反应条件
DBCO与叠氮反应几乎无副反应,不需要高温、高压或金属催化条件,适用于多种敏感体系
相关推荐:
ATTO 620 NHS Ester
AF647 Picolyl Azide,AF647-吡啶叠氮
Alexa fluor 633 NHS Ester,A633 SE
Alexa fluor790 NHS Ester,AF633 SE
SYTO-62 5mM
Alexa Fluor 700 NHS Ester
QSY 21 COOH,1201223-18-8




齐岳微信公众号
官方微信
库存查询