英文名 DOTA-NHS-ester
CAS号 170908-81-3
分子量 501.48800
分子式 C20H31N5O10
状态:固体/粉末/溶液
保存:冷藏
供应:西安齐岳生物科技有限公司

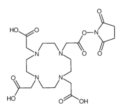
DOTA mono-N-hydroxysuccinimide ester(简称 DOTA-NHS ester,CAS号 170908-81-3)是一种常用的螯合剂活性酯衍生物。其分子结构中包含一个四齿配体 DOTA(1,4,7,10-tetraazacyclododecane-1,4,7,10-tetraacetic acid)核心,以及一个活性的 N-羟基琥珀酰亚胺酯官能团。该化合物可与分子中的氨基反应形成稳定的酰胺键,用于将金属螯合基团共价连接至蛋白质、多肽、抗体、寡核苷酸或其他生物分子上。
DOTA 是一种高稳定性的环四胺四乙酸配体,能够牢固地螯合多种金属离子,包括稀土金属(如 Gd³⁺、Lu³⁺、Y³⁺)及放射性金属(如 ⁶⁸Ga³⁺、⁹⁰Y³⁺、¹⁷⁷Lu³⁺ 等)。DOTA-NHS ester 通过在其结构中引入活性酯官能团,使其可在温和条件下与靶分子上的伯胺或赖氨酸残基反应,从而形成 DOTA-标记的生物分子。该反应具有专一性高、操作简便、生成物稳定的特点,是放射性标记、影像化探针及配位化修饰研究中常用的中间体。
DOTA-NHS ester 在放射性示踪、分子影像和金属离子探针构建中具有重要应用。通过该试剂,研究者可以制备带有 DOTA 基团的生物配体,并进一步螯合金属离子,形成金属复合物。例如,螯合 Gd³⁺ 可形成磁共振成像用的造影剂;螯合⁶⁸Ga³⁺ 或 ¹⁷⁷Lu³⁺ 则可得到用于影像化或定量分析的放射性探针。由于 DOTA 与金属离子结合后形成的配合物热力学稳定性和动力学惰性高,因此标记后的分子在生理环境中具有优良的稳定性和可控性。
在制备过程中,DOTA-NHS ester 通常以无水溶剂(如 DMF、DMSO)为反应介质,与含氨基的底物反应时需保持中性至弱碱性条件(pH 7.5–8.5)。反应完成后,可通过透析或层析去除未反应的试剂,得到高纯度的 DOTA-修饰产物。由于其结构中仅含有单一活性酯,能有效避免多点标记,提高偶联的均一性。
相关推荐:
DOTA mono-N-hydroxysuccinimide ester,170908-81-3
戊酸酯/己酸酯的AF647-NHS ester
橙色水溶性荧光染AF532-NHS,AF532 活性酯
Fluorescein-DBCO,荧光素-二苯并环辛炔,2054339-00-1
Mal-PEG3-Glucuronide-MABC-MMAE
DBCO-PEG6-Val-Ala-PAB-Gemcitabine
Sulfane Sulfur Probe 4,1810731-98-6
SiR-PEG2-C4-OH,硅基罗丹明-二聚乙二醇-C4-羟基
BB1-CONH-PEG3-Biotin,2133411-66-0
KB02yne,2376152-06-4
KB05yne,2724919-69-9
DOPE-NHS,1010188-79-0




齐岳微信公众号
官方微信
库存查询