中文名称: NOTA-NHS ESTER
MF: C16H24N4O8
MW: 400.38
CAS: 1338231-09-6
状态:固体/粉末/溶液
保存:冷藏
供应:西安齐岳生物科技有限公司

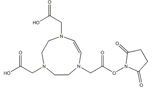
1. 结构与特性
NOTA-NHS ester(N-(2,3-dihydroxypropyl)-N,N′,N′-tris(2-aminoethyl)ethylenediamine-N′,N′-bis(2-hydroxyethyl)acetic acid-NHS酯)是一种化学衍生物,它由NOTA(N,N,N′,N′-四乙基乙烯二胺四乙酸)配体与NHS酯基团组成。NOTA-NHS ester常用作分子标记和放射性示踪剂的合成前体。
NOTA配体是一种常用于金属离子螯合的分子,它具有多个氮原子,可以与金属离子(如镓-68、铜-64等)进行高亲和力的结合,形成稳定的金属-配体螯合物。NHS酯基团(N-hydroxysuccinimide ester)则是一种常用的活性酯基团,可以与氨基(-NH₂)反应,形成稳定的酰胺键。这使得NOTA-NHS ester具有高度的反应性,能够用于分子标记和金属离子的螯合。
2. 应用领域
NOTA-NHS ester的独特结构使其在多个领域中具有重要应用:
放射性示踪与成像:NOTA-NHS ester常用于合成带有放射性同位素的示踪剂。通过与金属离子(如镓-68、铜-64等)的螯合,NOTA-NHS ester可以形成稳定的放射性金属复合物。这些复合物常用于正电子发射断层扫描(PET)、单光子发射计算机断层扫描(SPECT)等成像技术,用于生物体内分子追踪、肿瘤检测等领域。
分子标记与生物标记:NOTA-NHS ester广泛应用于分子标记中。NHS酯基团能够与含有氨基的分子(如蛋白质、抗体、肽链等)发生反应,形成稳定的共价结合。这使得NOTA-NHS ester在抗体偶联药物、蛋白质标记和其他生物标记中具有重要作用。
靶向药物递送:NOTA-NHS ester可用于靶向药物递送系统的开发。通过将NOTA-NHS ester与药物分子连接,可以形成靶向药物递送系统。例如,NOTA配体与某些金属离子的螯合可以使得药物分子在特定的部位或细胞中具有更好的靶向性和效能。
蛋白质工程与合成:NOTA-NHS ester还可用于蛋白质工程中的偶联和修饰。通过将NOTA-NHS ester与蛋白质中的氨基反应,可以实现蛋白质的功能化,改进其稳定性和功能。
相关推荐:
八臂聚乙二醇降冰片烯,8-arm-PEG-Nor
8-arm-PEG-NPC 八臂聚乙二醇硝基苯碳酸酯
8-arm-PEG-GAS,8-臂聚乙二醇酰胺琥珀酰亚胺戊二酸酯
8-臂聚乙二醇琥珀酰亚胺戊二酸酯,8-arm-PEG-SG
8-arm-PEG-DF,8-臂聚乙二醇苯甲醛
8-臂聚乙二醇戊二酸,8-arm-PEG-GA
8-arm-PEG-SCM,8-臂聚乙二醇琥珀酰亚胺乙酸酯
8-臂聚乙二醇环氧丙烷,8-arm-PEG-Ep
8-arm-PEG-AcA,8-臂聚乙二醇丙烯酰胺
8-臂聚乙二醇叠氮,8-arm-PEG-N3
8-臂聚乙二醇巯基,8-arm-PEG-SH
8-臂聚乙二醇氨基,8-arm-PEG-NH2
Pyrene-PEG-NH2,芘丁酸-聚乙二醇-氨基
Cy3.5-E 琥珀酰亚胺酯,Cy3.5-E SE




齐岳微信公众号
官方微信
库存查询