名称:Methoxy PEG-DMG
用途:科研
状态:固体/粉末/溶液
保存:冷藏
供应:西安齐岳生物科技有限公司

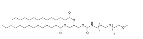
Methoxy PEG-DMG(甲氧基聚乙二醇-二甲基甘氨酸)是一种常用的功能化聚乙二醇(PEG)衍生物,具有生物医学研究和制药领域广泛的应用。它将甲氧基(-OCH₃)修饰在PEG分子的一端,并通过二甲基甘氨酸(DMG)作为功能团与PEG连接。Methoxy PEG-DMG不仅具有PEG的生物相容性和水溶性,还结合了DMG的特性,通常用于药物递送、分子标记、细胞标记、以及表面修饰等方面。
组成部分及功能
甲氧基(-OCH₃)
甲氧基基团是一种常见的非极性基团,能够增加PEG的溶解性并稳定其在水中的分布。甲氧基的引入能够减少PEG分子的免疫反应,并提高其在生物体系中的生物相容性。通过甲氧基的稳定性,Methoxy PEG-DMG能够在体内长时间稳定存在,减少免疫清除。
二甲基甘氨酸(DMG)
DMG是一种含氮的小分子,它通过与PEG的共价结合提供了功能化的亲和力。二甲基甘氨酸不仅能够促进与生物分子或细胞的相互作用,而且在药物递送系统中具有重要作用。DMG基团通过其氨基或其他化学反应性,能够促进药物与细胞膜或其他生物大分子的结合。
PEG(聚乙二醇)
聚乙二醇(PEG)作为Methoxy PEG-DMG的主体部分,提供了良好的水溶性、低免疫原性和高生物相容性。PEG能够增强分子的稳定性,减少其在体内的清除速度,延长药物或治疗分子在体内的循环时间,进而提高治疗效果。
Methoxy PEG-DMG的合成与应用
合成
Methoxy PEG-DMG通常通过化学方法将甲氧基(-OCH₃)和二甲基甘氨酸(DMG)连接到PEG链的末端。这一过程确保了分子的功能性和稳定性,能够在药物递送、分子交联和细胞标记等研究中发挥作用。
主要应用领域
药物递送系统
Methoxy PEG-DMG广泛用于药物递送系统的开发。由于PEG部分的存在,Methoxy PEG-DMG可以显著提高药物的水溶性、稳定性,并减少其免疫反应。同时,DMG基团可以帮助药物分子与特定受体或细胞表面结合,增强药物的靶向性。通过这些特性,Methoxy PEG-DMG用于提高药物的生物利用度和减少副作用。
分子标记与偶联
Methoxy PEG-DMG可用于生物分子标记和偶联。通过其DMG基团,Methoxy PEG-DMG能够与目标分子进行反应,形成稳定的共价结合。它可以与蛋白质、抗体、核酸等生物分子偶联,用于分子探针、免疫标记、分子成像等研究中。
细胞标记与成像
在细胞标记和成像中,Methoxy PEG-DMG通过与细胞表面的受体或蛋白质结合,能够提供稳定的标记信号。DMG基团为该过程提供了特定的亲和力,从而帮助研究人员追踪细胞和分子在生物体系中的分布和相互作用。
生物分子交联
Methoxy PEG-DMG还可用于生物分子的交联。通过与含氨基或其他亲核基团的分子发生反应,Methoxy PEG-DMG可以高效地将不同的生物分子交联,进行蛋白质-蛋白质、抗体-抗原等分子间的相互作用研究。
关于我们:
西安齐岳生物科技有限公司经营的产品种类包括有:原料药、抑制剂、天然产物、COF、MOF单体系列:三蝶烯衍生物、金刚烷衍生物、四苯甲烷衍生物、多胺系列、多醛系列、联吡啶衍生物、卟啉衍生物、苯乙炔衍生物等;抑制剂&染料;原料药及中间体;OLED光电材料单体系列:共轭苯衍生物、咔唑、噻吩、苯并呋喃和苝/萘酐衍生物等;聚酰亚胺系列:聚酰亚胺、二胺和二酐;有机硅系列:单体、有还原剂、保护剂和偶联剂等;可光聚合液晶小分子等。
相关推荐:
Methoxy PEG-DMG
SH-PEG-Mannose 巯基聚乙二醇甘露糖
mPEG-Succinimide Carbonate
mPEG-Succinimide Carbonate
mPEG2K-MAL
Alexa Fluor 555-amine
链霉亲和素-PEG1000-SH(SA-PEG-Thiol)
Methoxy-PEG-I(mPEG-Iodine)
Alexa Fluor 555 NHS(AF-555活性酯)




齐岳微信公众号
官方微信
库存查询