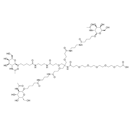
英文名称: tri-GalNAc-COOH
CAS号 1953146-81-0
分子量 1735.91
分子式 C75H134N10O35
状态:固体/粉末/溶液
保存:冷藏
供应:西安齐岳生物科技有限公司

Tri-GalNAc-COOH 是一种功能化寡糖分子,由三聚 N-乙酰半乳糖胺(GalNAc)单元和末端羧基(–COOH)官能团组成。其设计目标在于为高分子修饰、纳米材料功能化、多功能复合体系构建以及分子探针开发提供高效、可控的化学偶联平台。
三聚 GalNAc 提供了高度对称的空间骨架,使末端羧基官能团在偶联反应中能够自由接近目标反应位点,从而提高化学反应效率和产物均一性。GalNAc 的三聚结构也提供了分子识别能力和空间扩展功能,为多功能分子整合提供可靠基础。该设计保证了在多点偶联、多功能整合或复合体系构建中,分子能够实现高密度、均匀分布的功能化。
末端羧基(–COOH)官能团是 Tri-GalNAc-COOH 的核心活性部位,可与氨基或其他活性官能团形成稳定共价键,例如酰胺键。该羧基化学反应性高、选择性好,能够在温和条件下完成偶联,适用于水相、缓冲体系及极性有机溶剂体系,使 Tri-GalNAc-COOH 可高效整合到高分子链、纳米颗粒或功能化复合体系中。
Tri-GalNAc-COOH 的分子设计兼顾刚性和柔性:GalNAc 三聚体提供稳定的空间骨架和分子识别能力,而羧基末端提供高效偶联化学反应位点。若需要,可通过 PEG 或其他柔性链段作为连接器,为复合体系提供额外空间缓冲,使偶联反应高效、均一,并保证产物的可控性。
化学稳定性方面,Tri-GalNAc-COOH 在干燥、低湿及避光条件下可长期储存,保持末端羧基官能团活性。使用时,可溶解于水、缓冲液或极性有机溶剂中直接参与偶联反应或复合体系构建。其亲水/疏水平衡设计确保溶液分散性良好,偶联反应均一高效。
相关推荐:
1953146-81-0,Tri-GalNAc-COOH
Biotin-PEG-Acid,生物素-聚乙二醇-羧基
BA-PEG-SC,Benzylamine-PEG-SC
AC-PEG-NHS,NHS-PEG-Acrylate
8arm-PEG-NH2,八臂-聚乙二醇-氨基
八臂-聚乙二醇-二苯基环辛炔,8Arm-PEG-DBCO
MB 680R NHS Ester,MB 680R SE
MB 680R 叠氮化物,MB 680R Azide
SY-7 DBCO,SY-7 Dibenzocyclooctyne
Cy5-PEG-FA,Cyanine5-PEG-FA




齐岳微信公众号
官方微信
库存查询