英文名称: 5-endo-BCN-pentanoic acid
中文名称: 5-ENDO-双环[6,1,0]壬炔-戊酸
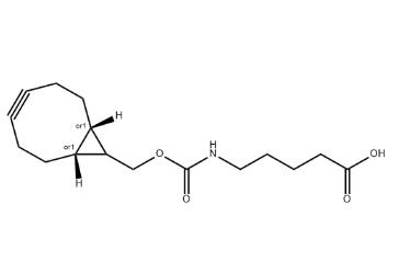
MF: C16H23NO4
MW: 293.36
CAS: 2364591-80-8

产品简介:
endo-BCN-pentanoic acid 是一种功能化有机化合物,其结构由 endo-BCN(Bicyclo[6.1.0]nonyne)环辛炔端和戊酸(pentanoic acid)末端组成。BCN 端是一种应力张力环炔结构,可与叠氮基(azide)通过 SPAAC(Strain-Promoted Azide–Alkyne Cycloaddition)高效进行点击化学反应,无需铜催化,适用于生物体系标记,兼顾反应效率与生物兼容性。戊酸端提供羧酸官能团,可通过活化形成酰胺键与蛋白质、多肽或其他含氨基分子共价结合,从而将 BCN 引入目标分子,实现功能化修饰和多步化学构建。
在应用上,endo-BCN-pentanoic acid 主要用于蛋白质、多肽及小分子探针的功能化标记。通过羧酸端与赖氨酸残基或活化羧酸体系反应,可在温和条件下将 BCN 功能引入生物分子;随后,BCN 端可与 azide 功能化分子进行特异性点击化学反应,如荧光染料、亲和标签或药物分子,实现多功能分子构建。戊酸提供一定长度的柔性间隔,有助于减少 steric hindrance,使点击反应更均一且对蛋白质活性影响最小。该试剂特别适合多步化学修饰实验、蛋白质标记、抗体功能化及纳米材料表面改性研究。
使用注意事项包括:羧酸端活性通常需通过 NHS 或 EDC 等体系活化,反应在 pH 7–9 缓冲液中进行最佳;BCN 点击反应无需铜催化,但应避光并保持温和条件以确保效率;戊酸柔性链增加溶解性,但过高浓度可能影响反应动力学;储存建议低温避光干燥,以延长化学活性和分子稳定性。总体来看,endo-BCN-pentanoic acid 是一款结合高效点击化学、羧酸活性和柔性链间隔的多功能试剂,适用于蛋白质、多肽及小分子探针的功能化标记及多步化学构建实验。
来源产地:中国 · 陕西 · 西安
包装规格:提供瓶装形式,常规规格包括 50 mg、100 mg、250 mg、500 mg,亦可根据实验需求提供定制包装。
产品形态:可提供固体、粉末或溶液三种形态,便于不同实验体系使用与操作。
储存说明:建议在低温避光、干燥环境下保存,以维持产品的稳定性和使用效果。
品牌介绍:西安齐岳生物科技有限公司专注于科研用药物递送与纳米材料相关技术的研发与生产。公司产品覆盖合成磷脂、PEG 衍生物、嵌段共聚物、纳米金属与磁性颗粒、介孔二氧化硅、活性荧光染料、荧光量子点、点击化学试剂及大环配体等多个系列。
齐岳生物秉承创新与质量并重的理念,为科研院所及相关实验单位提供可靠的试剂与材料支持,助力科学研究高效开展。
(资料整理:kx,仅限科研用途,不得用于人体、医疗或诊断。)
产品推荐:
FITC-L-Glutamine,Fluorescent -L-谷氨酰胺
DOTA PEG5 C4 DBCO
DiSulfo-Cy7(Ethyl)-FAPI-4
Me tetrazine Disulfo Cy5,甲基四嗪二磺基Cyanine5
Cyanine5 PEG4 NHS,Cy5四聚乙二醇活性酯
1026613-31-9(6 AF488 NHS)
252255-42-8,Sulfo Cy5 bis NHS ester




齐岳微信公众号
官方微信
库存查询