【产品名称】:Chol-N3,CAS2106868-12-4
【基本介绍】:
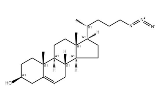
Chol-N₃(CAS2106868-12-4)——特性与功能
化学结构与基本特性
Chol-N₃ 是一种以胆固醇(Cholesterol)为骨架的叠氮化衍生物。其结构特点包括:
胆固醇(Chol)骨架:具有刚性四环甾体结构和高度疏水性,能够与生物膜脂质层高度兼容,从而增强膜渗透性或在脂质纳米颗粒中稳定存在。胆固醇结构使分子能够插入脂质双层,改善载体的生物相容性和分子分布。
叠氮基(N₃)末端:可与环炔官能团(如 BCN 或 DBCO)通过铜自由点击化学(SPAAC)反应偶联,实现高效的生物正交标记。叠氮基的化学惰性保证其在生物环境中稳定,同时可通过点击化学与靶向分子或载体形成共价键。
Chol-N₃ 结合了胆固醇的膜相容性和叠氮的点击化学活性,是构建脂质修饰、靶向递送系统和功能化纳米载体的理想工具。
功能特性与应用
脂质膜修饰与功能化
Chol-N₃ 可插入细胞膜或脂质体中,用作膜锚或脂质修饰单元,为药物载体、脂质纳米颗粒或膜蛋白构建提供高效疏水支架。生物正交点击偶联
叠氮基可以与环炔基团进行 SPAAC 反应,实现抗体、蛋白质、荧光探针或药物的共价偶联。此过程高效、无毒、无需金属催化,适合活细胞或敏感分子环境下的操作。靶向药物递送
Chol-N₃ 可用于将药物或荧光探针锚定在脂质体、纳米颗粒或脂质修饰载体上,实现靶向递送、缓释或膜定位,提高药物的生物利用度和稳定性。荧光与追踪实验
通过与荧光标记或蛋白质偶联,Chol-N₃ 可用于膜标记、纳米颗粒定位和活细胞成像研究,帮助解析分子在膜或脂质环境中的分布和动力学。多功能分子设计平台
结合胆固醇疏水性和叠氮化学可操作性,Chol-N₃ 可用于构建多功能化分子,如 ADC 载体、荧光标记脂质体、纳米药物输送系统和膜蛋白修饰工具。
总结
Chol-N₃ 是一种兼具胆固醇膜相容性和叠氮点击偶联能力的分子。它在脂质修饰、膜靶向递送、生物正交偶联、荧光标记及纳米载体构建方面应用广泛,是现代药物递送和分子生物学研究的重要化学工具。我们提供这个产品,仅供科研,如有需要,欢迎咨询!

【基本信息】:
生产地:陕西·西安
纯度标准:≥95%(高纯级)
物理形态:粉末状固体
包装规格:50mg / 100mg / 250mg / 500mg(灵活选量)
贮存要求:低温避光存储
特别声明:本品为科研专用!禁止临床或人体应用!
【关于我们】:
西安齐岳生物科技有限公司是一家专业从事生物科研材料研发与销售的高新技术企业,致力于为生命科学、纳米材料及化学研究等领域提供全面的产品和解决方案。公司主营产品涵盖合成磷脂、高分子聚乙二醇衍生物、磁性纳米颗粒、纳米金、近红外荧光染料、荧光量子点、碳纳米管、石墨烯及多种功能高分子材料。凭借完善的质量管理体系、专业的技术支持和灵活的定制服务,公司已与众多科研院所和高校建立合作关系,持续助力科学研究与技术创新。
【相关产品】:
5' Phosphate Amidite (O-DMT-2,2'-sulfonyldiethanol)
5' MMT-氨基 C6 Modifier
AF568 Tyramide Conjugates
AF555 Tyramide Conjugates
5'-Aminooxy-Modifier-11-CE Phosphoramidite
5'-Aminooxy-Modifier-6-CE Phosphoramidite
DABCYL Amidite
BTQ-1 Amidite(5'-BTQ-1 CE Phosphoramidite)
AF546 Tyramide Conjugates
AF532 Tyramide Conjugates
CF754 Tyramide Conjugates
CF680R Tyramide Conjugates
CF640R Tyramide Conjugates




齐岳微信公众号
官方微信
库存查询