CAS :152685-91-1 Cimiside B 兴安升麻
发布时间:2024-03-15     作者:kx   分享到:
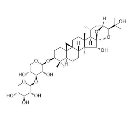
英文名称:Cimiside B
CAS :152685-91-1
分子式:C40H64O13
性状:Powder
纯度:97.0%
特色服务:随货提供1H-NMR等报告
关键词:兴安升麻;环阿尔廷烷;三萜苷;植物提取物;天然产物;天然产物库

产地:西安
规格:1mg 5mg 10mg
用途:仅用于科研
状态:固体/粉末
厂家:西安齐岳生物科技有限公司
温馨提示:仅用于科研,不能用于人体实验!
西安齐岳生物科技有限公司提供的产品种类包括:生物碱,黄酮,查尔酮,氧杂蒽酮,木脂素,香豆素,苯丙素,其它酚类,三萜,二萜,倍半萜,环烯醚萜,其它萜类,甾体,蒽醌,其它醌类,其它天然产物,药物杂质及中间体。
相关产品:
CAS:126334-84-7 2-(氯甲基)-4-苯基喹啉-3-甲酸乙酯 ethyl 2-(chloromethyl)-4-phenylquinoline-3-carboxylate,hydrochloride
7-Bromo-2-oxo-1,2-dihydroquinoline-4-carboxylic acid CAS:762260-63-9




齐岳微信公众号
官方微信
库存查询