CAS: 2550393-21-8 MS154 PROTACs(蛋白降解靶向嵌合体)
发布时间:2024-04-23     作者:kx   分享到:
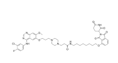
常用名:MS154
描述:
MS154 是一流的 E3 连接酶 cereblon 招募 EGFR 降解剂,对于 EGFR WT 和 EGFR L858R 突变体的 Kd 分别为 1.8 nM 和 3.8 nM。
分子量
901.42
Formula
C46H54ClFN8O8
CAS 号
2550393-21-8
运输条件
Room temperature in continental US; may vary elsewhere.
储存方式
Please store the product under the recommended conditions in the Certificate of Analysis.

PROTAC(PROteolysis-TArgeting Chimera)是一种异源双功能纳米分子,包含两种不同的配体,一种是用于泛素E3的配体,另一种是用于目标蛋白的配体。这两部分通过连接子连接在一起,形成一个“三单元”聚合物,即目标蛋白配体-连接子-E3连接酶配体。PROTAC分子的构建模块包括PROTAC连接子、用于PROTAC的目标蛋白配体、用于E3连接酶的配体、E3连接酶配体-连接子共轭物、目标蛋白配体-连接子共轭物等。PROTAC技术被广泛应用于药物开发领域,可用于选择性降解特定的蛋白质,具有潜在的治疗应用前景。
产地:西安
用途:科研
厂家:西安齐岳生物科技有限公司
温馨提示:仅用于科研!
相关产品:
Pomalidomide-2-2-6-NH2 hydrochloride
Pomalidomide-2-2-6-N3
Pomalidomide-2-2-6-I
Pomalidomide-2-2-6-Cl




齐岳微信公众号
官方微信
库存查询