BTTPS 1341215-19-7 点击化学
发布时间:2024-04-24     作者:zcy   分享到:
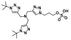
常用名称 BTTPS
中文名称 3-(4-(双(1-叔丁基 -1H-1,2,3-三唑 -4-甲基)氨基)甲基)-1H-1,2.3-三唑 -1-基)-丙醇硫酸
CAS number : 1341215-19-7
Appearance: White Solid
Molecular formula: C20H34N10O4S

Molecular weight: 510.62
Storage conditions: -20°C
BTTPS 是一种具有磷化三氮唑基团的化合物,通常连接有硅烷官能团。这种化合物常用作金属催化反应中的配体,特别是在过渡金属催化的交叉偶联反应中。磷化三氮唑配体具有较强的配位能力,能够有效地促进金属催化反应的进行,并且硅烷官能团使得该配体具有良好的溶解性和可溶性,便于在有机合成中的应用。BTTPS 在有机合成中常被用作催化剂或配体,有助于提高反应的效率和选择性。
产地:西安
厂家:西安齐岳生物科技有限公司
用途:科研
温馨提示:仅用于科研
厂家信息:
西安齐岳生物科技有限公司提供的产品种类包括DBCO、BCN、Azide、Alkyne、Tetrazine、TCO、Cyclopropene、BTTAA、THPTA 等常用生物正交反应试剂。
CuAAC 反应中使用的 BTTES、TBTA、BTTP、BTTAA、THPTA 等加速反应进行的铜离子配体。
相关产品:
4,4',4''-((4,4',4''-(Nitrilotris(methylene))tris(1 H-1,2,3-triazole-4,1-diyl))tris(methylene))trib enzoic acid
BTTP
BTTES
TBTA
BTTAA




齐岳微信公众号
官方微信
库存查询