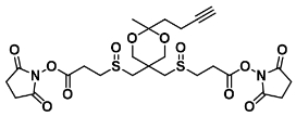
英文名称 Alkyne-A-DSBSO crosslinker
中文名称 炔-A-DSBSO crosslinker
CAS number : 1704097-05-1
Appearance: White Solid
Molecular formula: C25H32N2O12S2

Molecular weight: 616.65
Storage conditions: -20°C
Alkyne-A-DSBSO crosslinker是一种化学交联剂,用于在生物化学和分子生物学研究中连接蛋白质或其他生物大分子。这种交联剂结合了炔基(alkyne)和DSBSO(disuccinimidyl dibutyric urea)基团,因此被称为Alkyne-A-DSBSO crosslinker。
炔基(alkyne)官能团:炔基是一种含有碳碳三键(-C≡C-)的官能团,具有较高的化学反应活性。它常用于点击化学反应中,可以与含有叠氮烯类或其他亲电性官能团的化合物发生环加成反应,从而实现特定化合物的合成和功能化。
DSBSO基团:DSBSO是一种含有二级胺的交联试剂,常用于与蛋白质中的氨基酸残基(如赖氨酸或胺基酸)发生反应,从而形成共价键连接。这种基团可以提供对蛋白质交联的特异性。
产地:西安
厂家:西安齐岳生物科技有限公司
用途:科研
温馨提示:仅用于科研
厂家信息:
西安齐岳生物科技有限公司提供的产品种类包括DBCO、BCN、Azide、Alkyne、Tetrazine、TCO、Cyclopropene、BTTAA、THPTA 等常用生物正交反应试剂。
含端炔的化合物可通过铜催化的叠氮化物-炔点击化学反应与含叠氮化合物或生物小分子反应,形成稳定的 1,2,3-三氮唑连接。
相关产品:
5-TAMRA-PEG4-Alkyne
BDP FL-PEG5-propargyl
Biotin alkyne
Biotin-PEG2-C4-alkyne
Biotin-PEG4-alkyne




齐岳微信公众号
官方微信
库存查询