Bz-Val-Gly-Arg-pNA,CAS号:64717-41-5
发布时间:2022-06-29     作者:ysl   分享到:
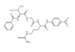
中文名称:Bz-Val-Gly-Arg-pNA
CAS号:64717-41-5
单字母:Bz-VGR-pNA
三字母:Benzoyl-Val-Gly-Arg-pNA
分子式:C26H34O6N8
平均分子量:554.6

描述:Bz-VGR-pNA,胰蛋白酶和细菌胰蛋白酶样蛋白酶的显色底物。
相关产品
sPG-ICG 血清胃蛋白酶原修饰吲哚氰绿荧光染料
Stearic acid-PEG-FITC 硬脂酸-聚乙二醇-荧光素
Sulfo-NHS将荧光染料罗丹明B(RhB)共价偶联在牛血清白蛋白(BSA)
TAMRA-NHS 荧光素-活性酯
TB1荧光染料
Tc99m-TEx-Cy7 荧光素偶联修饰99m同位素的外泌体
TCO-PEG3-FITC 反式环辛烯-聚乙二醇-异硫氰酸荧光素
TCO-PEG3-FITC 绿色荧光素标记反式环辛烯-三聚乙二醇
产地 :西安
纯度:99%
用途:仅用于科研
温馨提示:仅用于科研,不能用于人体实验!
QY小编 ysl 2022.6.29




齐岳微信公众号
官方微信
库存查询