CAS:66414-33-3 03:0 PC 1,2-二丙酰基-sn-甘油-3-磷酸胆碱
发布时间:2024-06-06     作者:zhn   分享到:
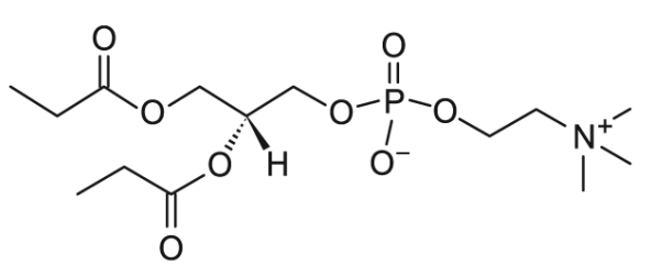
03:0 PC
1,2-dipropionyl-sn-glycero-3-phosphocholine
1,2-二丙酰基-sn-甘油-3-磷酸胆碱

Hygroscopic:Yes
Light Sensitive:No
Molecular Formula:C14H28NO8P
Percent Composition:C 45.53%, H 7.64%, N 3.79%, O 34.65%, P 8.39%
Purity: >99%
Stability:1 Years
Storage:Temperature-20°C
CAS Number:66414-33-3
CAS Registry Number
Formula Weight: 369.348
Exact Mass:369.155
Synonyms:PC(3:0/3:0)
种类:磷脂
产地:西安
用途:科研
包装:瓶装
以上资料由齐岳小编zhn提供,仅用于科研
西安齐岳生物提供各种基础的磷脂以及功能化的磷脂;功能化脂质通常用于研究生物过程中的脂质功能。这些脂质并不自然存在于生物系统中。功能化脂质可应用于几个感兴趣的领域,包括药物递送、转染、报告分子和结构生物学。我们目前提供几种类型的功能化脂质,如马来酰亚胺、己胺、琥珀酰、戊二酰和生物素衍生物等。
相关产品:
二硬脂酰基磷脂酰乙醇胺-聚乙二醇-双硒键-聚乙二醇
DSPE-PEG2K-肝素前体
DSPE-PEG2000-肝素前体
DSPE-PEG-Heparsan




齐岳微信公众号
官方微信
库存查询