英文名 Fluorescein-DBCO
CAS号 2054339-00-1
分子量 665.71
分子式 C39H27N3O6S
状态:固体/粉末/溶液
保存:冷藏
供应:西安齐岳生物科技有限公司

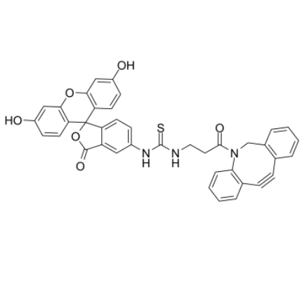
化学名称与结构
FITC-DBCO 是一种荧光功能化的生物正交试剂,将荧光染料 FITC(Fluorescein Isothiocyanate,异硫氰酸荧光素)与二苯并环辛炔(DBCO)偶联。其分子特点包括:
FITC荧光基团:提供绿色荧光信号,激发波长约490 nm,发射波长约520 nm。
DBCO功能基团:可进行铜自由点击化学(SPAAC)与叠氮基分子反应,实现特异性共价偶联,无需铜催化剂。
物理化学性质
光学性质:FITC激发波长约490 nm,发射波长约520 nm,可在荧光显微镜和流式细胞仪中检测。
溶解性:水溶性良好,可在PBS、H2O或DMSO中溶解。
稳定性:避光保存,避免强酸、强碱和强还原剂,以防荧光淬灭或DBCO活性丧失。
反应特性
FITC-DBCO 的 DBCO 端可与 azide 功能化分子进行铜自由点击化学:
SPAAC反应:无需铜催化,高选择性与叠氮基结合生成1,2,3-三唑环,稳定且生物相容。
荧光标记:FITC提供稳定绿色荧光,可用于蛋白、抗体、纳米载体及细胞的标记。
多功能偶联:结合荧光和生物正交功能,实现同时成像和分子功能修饰。
应用领域
生物标记与成像:可将FITC-DBCO特异性偶联至azide修饰的蛋白或细胞,实现绿色荧光追踪。
免疫分析与流式检测:用于抗体标记、细胞表面标记和多色荧光实验。
纳米材料修饰:可偶联至脂质体、聚合物或纳米颗粒,实现可视化追踪与功能化。
生物正交化学研究:SPAAC反应的无铜特性适合敏感生物体系,如活细胞标记或体内应用。
相关推荐:
5-FAM Alkyne,510758-19-7
92557-81-8,6-FAM SE
Sulfo-Cyanine3 NHS ester
磺基三环芳烃交联剂,102568-43-4
2093197-94-3,DBCO-BODIPY FL
DBCO-S-S-SE,1435934-53-4
AF 647 Maleimide,1825332-75-9
1338332-66-3,BHQ3 COOH




齐岳微信公众号
官方微信
库存查询