近年来,人为排放的二氧化碳(CO2)使大气中的CO2浓度不断增加。因此,减少CO2排放量对于缓解气候变化至关重要。为此,CO2捕集与储存(CCS)被认为是一种**的CO2减排方法。然而,CCS存在吸收能力差、能量投入大的问题。同时,CO2被认为是一种丰富的、廉价的、可再生的、无毒的碳源,是危险的一氧化碳和光气的极佳替代物。所以许多研究致力于发展**的利用CO2的方法和技术。在这方面,二氧化碳捕获和利用(CCU)是一个受到关注的研究方向。与CCS相比,CCU策略可以避免CO2解吸步骤的能量输入,并且对于将捕集的CO2转化为有用的、有价值的化学物质具有重要意义。
喹唑啉-2,4(1H,3H)-二酮类及其衍生物具有多种生物和药理活性,可作为合成布那唑嗪、多沙唑嗪、哌唑嗪、泽那司他的关键中间体。然而传统的合成路线,会使用如一氧化碳、光气、氰酸钾等有毒原料。所以从可持续发展和绿色化学的角度出发,将CO2化学固定在2-氨基苯腈类化合物上,实现喹唑啉-2,4(1H,3H)-二酮的合成具有巨大的潜力和优势。在过去的十年中,许多促进这种转化的催化系统被开发出来,但上述的大多数催化体系仍然存在一些缺陷,例如通常需要大量的能量投入(如高反应温度、高CO2压力)和挥发性有机溶剂才能将CO2转化为喹唑啉-2,4(1H,3H)-二酮类化合物。因此,开发绿色、高活性和多功能介质以**捕获CO2并随后在温和条件下转化为喹唑啉-2,4(1H,3H)-二酮就显得至关重要。
基于上述情景,青岛科技大学的刘猛帅等人将三唑离子液体作为催化剂,使用CO2与2-氨基苄腈合成了喹唑啉的衍生物。
图1. 三唑催化剂与合成路线图
(图片来源:ACS Sustainable Chem. Eng.)
图2. 催化剂的筛选
(图片来源:ACS Sustainable Chem. Eng.)
研究人员对不同的催化剂进行了测试,发现Triz和有机碱(例如TMG,DBU,DBN和[P4444]OH)单独使用时,催化活性较低,而具有不同阳离子的基于三唑鎓的离子液体在相同的条件下表现出更高的催化活性。对于[HTMG] [Triz],在50 °C时可提供95%的产物收率。[HTMG][Triz]与报道的[Ch][Im]和[HTMG][Im]催化剂相比,需要更短的反应时间和更低的反应温度。
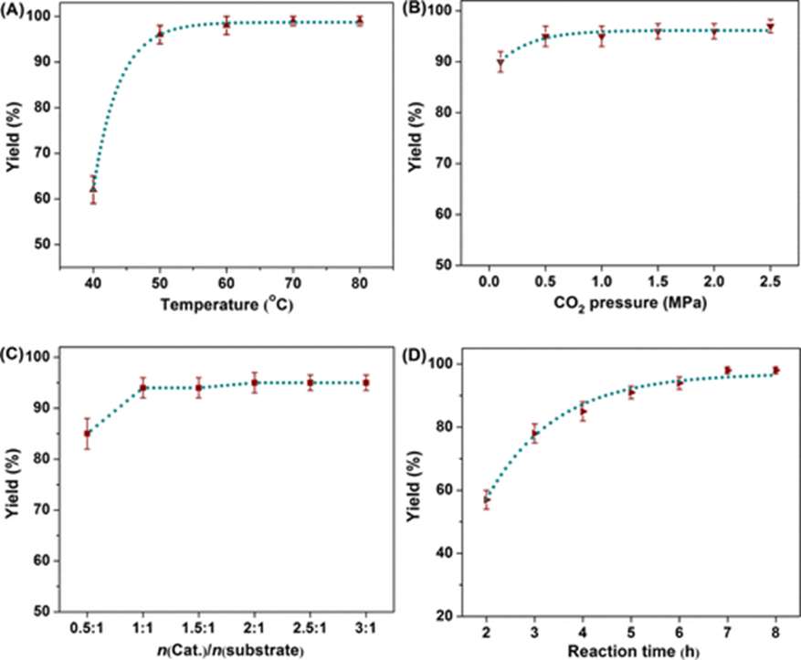
图3.反应条件对催化的影响
(图片来源:ACS Sustainable Chem. Eng.)
随后研究人员以[HTMG][Triz]为催化剂,测试了反应条件对喹唑啉-2,4(1H,3H)-二酮产量的影响。产品收率在很大程度上取决于40–50 °C范围内的反应温度,当温度升至50 °C时,产率提高至96%,同时CO2压力与催化剂的量的变化对产率提升不大。对合成喹唑啉-2,4(1H,3H)-二酮的动力学图研究发现,产品收率从最初的57%(2小时)增加到94%(6小时),当反应时间延长至7小时时,可获得98%的产品收率。
图4. 催化剂的循环测试
(图片来源:ACS Sustainable Chem. Eng.)
图5. 与其它催化剂的对比
(图片来源:ACS Sustainable Chem. Eng.)
研究人员对[HTMG][Triz]循环性能进行测试发现,该催化剂使用五次活性也不会显着降低。[HTMG][Triz]的FTIR和1H NMR波谱测试发现观察到再循环的[HTMG][Triz]的特征峰与新鲜催化剂几乎相同,表明[HTMG][Triz]催化剂具有**的稳定性和可回收性。并且与其它催化剂相比,该催化剂具有反应条件较为温和,产率较高的优点。
综上所述,研究人员将三唑离子液体用于催化CO2与2-氨基苄腈及其衍生物合成喹唑啉衍生物,并且具有较高催化活性的同时还具有可重复使用的能力,有望将来应用于工业上催化合成喹唑啉衍生物。
原文链接:
https://pubs.acs.org/doi/full/10.1021/acssuschemeng.9b07242
原文作者:
Fusheng Liu, Ran Ping, Yongqiang Gu, Penghui Zhao, Bin Liu, Jun Gao and Mengshuai Liu
以上内容均来自网络,如有侵权,请联系在在线客服删除!谢谢
不用于商业用途用途,不能用于人体实验




齐岳微信公众号
官方微信
库存查询